Prostý nosník - ilustrační příklad č. 1

!!! Stránka ve výstavbě !!!


Zadání

      Určete reakce a průběhy vnitřních sil na zadaném prostém nosníku.
F = 20 kN, cosa = 0.6, sina = 0.8, q = 6 kN/m, M = 18 kNm.

Řešení


1) Výpočet reakcí

      Nejprve rozložíme sílu F na vodorovnou složku Fx a svislou složku Fy a spojité rovnoměrné zatížení q mezi body d,e nahradíme náhradním břemenem Q, které působí v těžišti zatěžovacího obrazce :




Dále nahradíme podpory složkami reakcí. Bod a je podepřen pevným neposuvným kloubem. V tomto kloubu vznikají dvě složky reakcí - vodorovná složka Ra,x a svislá složka Ra,y. Bod b je podepřen posuvným kloubem, ve kterém vzniká pouze jedna složka reakce - svislá Rb,y. Velikost neznámých složek reakcí určíme z podmínek rovnováhy :
1) :
2) :
3) :







2) Výpočet vnitřních sil
Výpočet vnitřních sil můžeme provádět zprava nebo zleva. V tomto ilustračním příkladu si ukážeme obě možnosti. Vnitřní síly budeme určovat ve význačných bodech, kterými v tomto případě jsou podporované body a,b, dále působiště c osamělé síly, počátek d a konec e spojitého rovnoměrného zatížení a působiště f osamělého momentu.

Normálové síly - určované zleva

Normálové síly jsou síly působící ve směru osy nosníku (ve směru osy x), takže při výpočtu budeme sledovat tyto síly. Nejprve budeme určovat normálové síly zleva, budeme si tedy všímat pouze sil působících nalevo od vedených řezů.



Na - vedeme řez v bodě a těsně zprava. Na odříznuté části působí ve směru osy x pouze síla Ra,x. Podle konvence kladných normálových sil působí záporně (působí směrem do průřezu). Tedy


Ncl - vedeme řez v bodě c těsně zleva. To znamená, že na odříznuté části nosníku nepůsobí ještě síla F. Ve směru osy x tedy působí stále pouze síla Ra,x. Podle konvence kladných normálových sil působí záporně (působí směrem do průřezu). Tedy


Ncp - vedeme řez v bodě c těsně zprava. To znamená, že na odříznuté části nosníku již působí i síla F. Ve směru osy x tedy působí reakce Ra,x (záporně) a vodorovná složka Fx síly F působící dle konvence kladně (působí ven z průřezu). Tedy


Ndl - vedeme řez v bodě d těsně zleva. Na odříznuté části nosníku působí ve směru osy x reakce Ra,x (záporně) a vodorovná složka Fx (kladně). Tedy


Ndp - vedeme řez v bodě d těsně zprava. Na odříznuté části nosníku začíná působit spojité rovnoměrné zatížení. To však působí ve směru osy y, takže neovlivní normálové síly. Ve směru osy x tedy působí jen reakce Ra,x (záporně) a vodorovná složka Fx (kladně). Tedy



Nel, Nep - vedeme-li řez v bodě e těsně zleva nebo těsně zprava (tedy na konci působení spojitého zatížení), vidíme, že na odříznuté části nosníku nepřibylo žádné zatížení ve směru osy x, které by vyvolalo změnu velikosti normálových sil. Ve směru osy x tedy působí jen reakce Ra,x (záporně) a vodorovná složka Fx (kladně). Tedy Nel = Nep = Ne



Nfl, Nfp - vedeme-li řez v bodě  f  těsně zleva nebo těsně zprava (tedy před místem působení osamělého momentu a za tímto místem), vidíme, že moment neovlivní normálové síly. Ve směru osy x tedy stále působí jen reakce Ra,x (záporně) a vodorovná složka Fx (kladně). Tedy Nfl = Nfp = Nf


Nb, určujeme-li normálovou sílu v bodě b, vedeme řez těsně zleva. Na odříznuté části stále působí ve směru osy x jen reakce Ra,x (záporně) a vodorovná složka Fx (kladně). Tedy




Normálové síly - určované zprava

Nyní budeme určovat normálové síly zprava, budeme si tedy všímat pouze sil působících napravo od vedených řezů.



Nb - vedeme řez v bodě b těsně zleva. Na odříznuté části nepůsobí ve směru osy x žádná síla. Tedy



Nfp, Nfl - vedeme-li řez v bodě  f  těsně zprava nebo těsně zleva, zjistíme, že na odříznuté části nepůsobí ani v jednom případě ve směru osy x žádná síla.
Tedy Nfp = Nfl = Nf



Nep, Nel - vedeme-li řez v bodě e těsně zprava nebo těsně zleva, dojdeme ke stejnému závěru jako v předchozím případě - na odříznuté části nepůsobí ani v jednom případě ve směru osy x žádná síla.
Tedy Nep = Nel = Ne



Ndp, Ndl - vedeme-li řez v bodě d těsně zprava nebo těsně zleva, zjistíme, že se opět opakuje situace z předchozích dvou případů - na odříznuté části nepůsobí ani v jednom případě ve směru osy x žádná síla.
Tedy Ndp = Ndl = Nd


Ncp - vedeme řez v bodě c těsně zprava, tj. těsně před působištěm síly F. Na odříznuté části tedy stále ještě nepůsobí žádná síla ve směru osy x. Tedy


Ncl - vedeme řez v bodě c těsně zleva, tj. těsně za působištěm síly F. Na odříznuté části nyní již působí zatížení ve směru osy x, a to vodorovná složka Fx. Tato složka působí proti konvenci (působí do průřezu), tedy záporně.


Na - vedeme řez v bodě a těsně zprava. Na odříznuté části působí ve směru osy x pouze vodorovná složka Fx (záporně). Tedy

Obrazec normálových sil

Průběh normálových sil Máme-li vypočítány hodnoty normálových sil, můžeme nakreslit tzv. obrazec normálových sil (graf normálových sil, průběh normálových sil). Ten vykreslíme tak, že na osu nosníku vyneseme vypočítané hodnoty. Kladné hodnoty normálových sil vynášíme nad osu nosníku, záporné pod osu nosníku. Vynesené body potom spojíme odpovídajícími křivkami. V našem případě vyvolají normálové síly pouze osamělé síly Ra,x a Fx, tedy obrazec bude po částech konstantní.



Posouvající síly - určované zleva

Posouvající síly jsou síly působící kolmo na osu nosníku (ve směru osy y), takže při výpočtu budeme sledovat tyto síly. Nejprve budeme určovat posouvající síly zleva, budeme si tedy všímat pouze sil působících nalevo od vedených řezů.



Va - vedeme řez v bodě a těsně zprava. Na odříznuté části působí ve směru osy y pouze reakce Ra,y. Podle konvence kladných posouvajících sil působí kladně. Tedy


Vcl - vedeme řez v bodě c těsně zleva. To znamená, že na odříznuté části nosníku nepůsobí ještě síla F. Ve směru osy y tedy působí stále pouze reakce Ra,y (kladně). Tedy


Vcp - vedeme řez v bodě c těsně zprava. To znamená, že na odříznuté části nosníku již působí i síla F. Ve směru osy y pak působí reakce Ra,y (kladně) a svislá složka Fy síly F, která působící proti kladné konvenci posouvajících sil, tj. záporně. Tedy


Vdl - vedeme řez v bodě d těsně zleva. Na odříznuté části nosníku působí ve směru osy y reakce Ra,y (kladně) a svislá složka Fy (záporně). Tedy


Vdp - vedeme řez v bodě d těsně zprava. Na odříznuté části nosníku začíná působit spojité rovnoměrné zatížení. Účinek tohoto zatížení záleží na délce působení. Jsme-li v bodě d, pak délka působení zatížení na odříznuté části je nulová, a proto i účinek zatížení je nulový. Ve směru osy y tak stále působí jen reakce Ra,y (kladně) a svislá složka Fy (záporně). Tedy


Vel - vedeme řez v bodě e těsně zleva. Ve směru osy y na odříznuté části nosníku působí reakce Ra,y (kladně), svislá složka Fy (záporně) a celé spojité rovnoměrné zatížení, jež je nahrazeno náhradním břemenem Q (přepokládáme nulovou vzdálenosti řezu od bodu e). Toto náhradní břemeno vyvolává taktéž zápornou posouvající sílu. Tedy


Vep - vedeme řez v bodě e těsně zprava. Ve směru osy y na odříznuté části nosníku působí reakce Ra,y (kladně), svislá složka Fy (záporně) a celé spojité rovnoměrné zatížení, jež je nahrazeno náhradním břemenem Q působící záporně. Tedy



Vfl, Vfp - vedeme-li řez v bodě  f  těsně zleva nebo těsně zprava (tedy před místem působení osamělého momentu a za tímto místem), vidíme, že na odříznuté části nosníku nepřibyde oproti řezu v bodě e žádné další zatížení ve směru osy y, jež by vyvolalo změnu posouvající síly. Na levou část nosníku tak stále působí jen reakce Ra,y (kladně), svislá složka Fy (záporně) a spojité rovnoměrné zatížení, jež je nahrazeno náhradním břemenem Q (záporně). Tedy Vfl = Vfp = Vf


Vb - určujeme-li posouvající sílu v bodě b, vedeme řez těsně zleva. Na odříznuté části stále působí ve směru osy y reakce Ra,y (kladně), svislá složka Fy (záporně) a náhradní břemeno Q (záporně). Tedy




Posouvající síly - určované zprava

Nyní budeme určovat posouvající síly zprava, budeme si tedy všímat pouze sil působících napravo od vedených řezů.



Vb - vedeme řez v bodě b těsně zleva. Na odříznuté části působí ve směru osy y reakce Rb, která podle konvence vyvolává zápornou posouvající sílu. Tedy



Vfp, Vfl - vedeme-li řez v bodě  f  těsně zprava nebo těsně zleva, zjistíme, že na odříznuté části působí ve směru osy y v obou případech pouze reakce Rb (záporně). Tedy Vfp = Vfl = Vf


Vep - vedeme řez v bodě e těsně zprava. Na odříznuté části působí ve směru osy y pouze reakce Rb (záporně). Tedy


Vel - vedeme řez v bodě e těsně zleva. Na odříznuté části působí ve směru osy y reakce Rb (záporně) a dále začíná působit spojité zatížení. Délka působení tohoto zatížení na odříznuté části je však nulová a tedy i účinek zatížení je nulový. Tedy


Vdp - vedeme řez v bodě d těsně zprava. Na odříznuté části působí ve směru osy y reakce Rb (záporně) a celé spojité rovnoměrné zatížení (za předpokladu nulové vzdálenosti bodu d od místa řezu), jež je nahrazeno náhradním břemenem Q, které vyvolá kladnou posouvající sílu. Tedy


Vdl - vedeme řez v bodě d těsně zleva. Na odříznuté části působí ve směru osy y reakce Rb (záporně) a celé spojité rovnoměrné zatížení, jež je nahrazeno náhradním břemenem Q, které vyvolá kladnou posouvající sílu. Tedy


Vcp - vedeme řez v bodě c těsně zprava, tj. těsně před působištěm síly F. Na odříznuté části působí ve směru osy y reakce Rb (záporně) a náhradní břemeno Q (kladně). Tedy


Vcl - vedeme řez v bodě c těsně zleva, tj. těsně za působištěm síly F. Na odříznuté části nyní působí ve směru osy y kromě reakce Rb (záporně) a náhradního břemena Q (kladně) také svislá složka Fy, působicí taktéž kladně. Tedy


Va - vedeme řez v bodě a těsně zprava. Na odříznuté části působí ve směru osy y reakce Rb (záporně), náhradní břemeno Q (kladně) a svislá složka Fy (kladně). Tedy

Obrazec posouvajících sil

Průběh posouvajících sil Máme-li vypočítány hodnoty posouvajících sil, můžeme nakreslit tzv. obrazec posouvajících sil (graf posouvajících sil, průběh posouvajících sil). Ten vykreslíme tak, že na osu nosníku vyneseme vypočítané hodnoty. Kladné hodnoty posouvajících sil vynášíme nad osu nosníku, záporné pod osu nosníku. Vynesené body potom spojíme odpovídajícími křivkami. Mezi body a,c a c,d bude průběh konstantní, mezi body d,e bude průběh lineární, protože mezi body působí rovnoměrné spojité zatížení, a mezi body e,f,b bude průběh opět konstantní.
Z obrazce vidíme, že mezi body e,d protíná graf osu nosníků (osu x). Takovému místu říkáme "nebezpečný" průřez, poněvadž v tomto místě vzniká mezi body d,e maximální ohybový moment. Musíme tedy přesně stanovit toto místo x.
Průběh posouvajících sil Určení hodnoty x zleva
Vedeme-li řez mezi body d,e v místě x, tak posouvající sílu vyvodí reakce Ra,y, složka Fy a část spojitého zatížení q působicího na délce x. Náhradní břemeno Qx má velikost Qx=q.x. Potom pro velikost posouvající síly platí :

My hledáme takové x, pro které platí

tedy hledáme řešení rovnice

Řešením tohoto vztahu dostáváme vztah pro hledanou hodnotu x :

Průběh posouvajících sil Určení hodnoty x' zprava
Vedeme-li řez mezi body d,e v místě x, tak posouvající sílu vyvodí reakce Rb a část spojitého zatížení q působicího na délce x'. Náhradní břemeno Q'x má velikost Q'x =q.x'. Potom pro velikost posouvající síly platí :

My hledáme takové x', pro které platí

tedy hledáme řešení rovnice

Řešením tohoto vztahu dostáváme vztah pro hledanou hodnotu x' :




Ohybové momenty - určované zleva

Ohybové momenty jsou momenty působící v rovině nosníku (v rovině x,y), které se snaží nosník ohýbat. Veškeré zatížení z odříznuté části nosníku, které vyvolá moment k místu řezu, uvažujeme při výpočtu ohybových momentů. Nejprve budeme určovat ohybové momenty zleva.



Ma - vedeme řez v bodě a těsně zprava. Na odříznuté části působí reakce Ra,x a Ra,y. Složka Ra,x nevyvodí moment k bodu řezu, protože paprsek reakce prochází řezem. Složka Ra,y prochází bodem a, takže také nevyvodí moment k řezu (přepokládáme, že vzdálenost bodu a od řezu je nulová). Tedy


Mcl - vedeme řez v bodě c těsně zleva. To znamená, že na odříznuté části nosníku nepůsobí ještě síla F. Na odříznuté části působí reakce Ra,x a Ra,y. Složka Ra,x nevyvodí moment k bodu řezu, protože paprsek reakce opět prochází řezem (paprsek prochází všemi body nosníku, takže v žádném řezu nevyvodí moment). Složka Ra,y působí na rameni L1 a vyvodí moment, který bude otáčet kolem bodu c podle konvence kladně (tedy bude táhnout dolní vlákna). Tedy


Mcp - vedeme řez v bodě c těsně zprava. To znamená, že na odříznuté části nosníku již působí i síla F. Z odříznuté části vyvodí moment pouze reakce Ra,y na rameni L1 otáčející kladně. Složka Fx stejně jako reakce Ra,x nevyvodí moment, protože prochází bodem řezu. Složka Fy působí v bodě c a za předpokladu, že vzdálenost místa řezu od bodu c je nulová, nevyvodí ani složka Fy moment k bodu c. Tedy


Mdl - vedeme řez v bodě d těsně zleva. Z odříznuté části nosníku vyvodí moment reakce Ra,y a složka Fy. Reakce Ra,y působí na rameni (L1+L2) a kolem bodu d otačí kladně (táhne dolní vlákna). Složka Fy působí na rameni L2 a kolem bodu d otačí proti kladné konvenci, tj. záporně (tlačí dolní vlákna) Výsledný ohybový moment v řezu je


Mdp - vedeme řez v bodě d těsně zprava. Na odříznuté části nosníku začíná působit spojité rovnoměrné zatížení. Účinek totoho zatížení záleží na délce působení. Jsme-li v bodě d, pak délka působení zatížení na odříznuté části je nulová, a proto i účinek zatížení je nulový (nevyvodí moment obdobně jako nevyvodí posouvající sílu). Z odříznuté části nosníku vyvodí moment opět reakce Ra,y a složka Fy jako v předchozím řezu. Obě síly působí také na shodných ramenech a otáčí stejným směrem, takže platí stejný vztah :


Mx - protože jsme při výpočtu posouvajicích sil nalezli nebezpečný průřez, musíme v tomto řezu určit velikost momentu. Vedeme tedy řez v bodě x. Z odříznuté části nosníku vyvodí moment reakce Ra,y, složka Fy a náhradní břemeno Qx, jež nahrazuje část spojitého zatížení působicího na odříznuté části. Reakce Ra,y působí na rameni (L1+ L2+x) a otáčí kladně. Složka Fy působí na rameni (L2+ x) a otáčí záporně. Náhradní břemeno Qx působí na rameni x/2 a otáčí také záporně. Výsledný ohybový moment v řezu je


Mel - vedeme řez v bodě e těsně zleva. Z odříznuté části nosníku vyvodí moment reakce Ra,y, složka Fy a náhradní břemeno Q (předpokládáme, že vzdálenost řezu k bodu e je nulová). Reakce Ra,y působí na rameni (L1+ L2+L3) a kolem bodu e otačí podle konvence kladně (táhne dolní vlákna). Složka Fy působí na rameni (L2+ L3) a kolem bodu e otáčí podle konvence záporně (tlačí do dolních vláken). Náhradní břemeno Q působí na rameni L3 /2 a kolem bodu e otáčí podle konvence záporně (tlačí dolní vlákna). Výsledný ohybový moment v řezu je


Mep - vedeme řez v bodě e těsně zprava. Z odříznuté části nosníku vyvodí moment opět reakce Ra,y, složka Fy a náhradní břemeno Q. Všechny síly působí na stejných ramenech a otáčejí stejným směrem jako v přechozím řezu. Takže platí stejný vztah :


Mfl - vedeme řez v bodě  f  těsně zleva (tedy před místem působení osamělého momentu). Z odříznuté části nosníku vyvodí moment opět reakce Ra,y, složka Fy a náhradní břemeno Q. Všechny síly otáčejí kolem bodu f stejným směrem jako v předchozích dvou řezech (mají tedy stejná znamánka). Působí však na jiných ramenech. Reakce Ra,y na rameni (L1+L2+L3+L4)= (L-L5), složka Fy na rameni (L2+L3+L4) a náhradní břemeno Q na rameni (L3 /2+L4). Výsledný moment je :


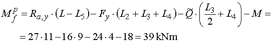
Mfp - vedeme řez v bodě  f  těsně zprava (tedy za místem působení osamělého momentu). Z odříznuté části nosníku vyvodí moment reakce Ra,y, složka Fy, náhradní břemeno Q a osamělý moment M. Všechny síly působí na stejných ramenech a otáčejí kolem bodu f stejným směrem jako v předchozím řezu. Navíc zde působí moment M, který otačí podle konvence záporně. Výsledný moment je :


Mb - určujeme-li ohybový moment v bodě b, vedeme řez těsně zleva. Z odříznuté části vyvodí moment reakce Ra,y na rameni L (otáčí kladně), složka Fy na rameni (L-L1) (záporně), náhradní břemeno Q na rameni (L3 /2+L4+L5) (záporně) a moment M (záporně). Výsledný moment je :




Ohybové momenty - určované zprava

Nyní budeme určovat ohybové momenty zprava, budeme si tedy všímat pouze sil působících napravo od vedených řezů.



Mb - vedeme řez v bodě b těsně zleva. Na odříznuté části působí pouze reakce Rb, která nevyvodí k místu řezu moment, poněvadž předpokládáme, že vzdálenost řezu od bodu b je nulová. Tedy


Mfp - vedeme řez v bodě  f  těsně zprava (tedy před místem působení osamělého momentu). Z odříznuté části moment vyvodí pouze reakce Rb působící na rameni L5 a otáčející podle konvence kladně. Tedy


Mfp - vedeme řez v bodě  f  těsně zleva (tedy za místem působení osamělého momentu). Z odříznuté části moment vyvodí reakce Rb a osamělý moment M. Reakce Rb působí na rameni L5 a otáčejí kolem bodu f podle konvence kladně. Osamělý moment M otáčí také kladně. Tedy


Mep - vedeme řez v bodě e těsně zprava. Z odříznuté části vyvodí moment reakce Rb a osamělý moment M. Reakce Rb působí na rameni (L4 + L5) a otáčí kladně. Moment taktéž otáčí kladně. Tedy


Mel - vedeme řez v bodě e těsně zleva. Na odříznuté části nosníku začíná působit spojité rovnoměrné zatížení. Účinek totoho zatížení záleží na délce působení. Jsme-li v bodě e, pak délka působení zatížení na odříznuté části je nulová, a proto i účinek zatížení je nulový (nevyvodí moment obdobně jako nevyvodí posouvající sílu). Z odříznuté části nosníku vyvodí moment reakce Rb a osamělý moment M na shodných ramenech jako v předchozím řezu. Platí proto stejný vztah :


Mx - protože jsme při výpočtu posouvajicích sil nalezli nebezpečný průřez, musíme v tomto řezu určit velikost momentu. Vedeme tedy řez v bodě x. Z odříznuté části nosníku vyvodí moment reakce Rb, osamělý moment M a náhradní břemeno Q'x, jež nahrazuje část spojitého zatížení působicího na odříznuté části. Reakce Rb působí na rameni (x'+ L4+L5) a otáčí kladně. Osamělý moment otáčí také kladně a náhradní břemeno Q'x působí na rameni x'/2 a otáčí záporně. Výsledný ohybový moment v řezu je


Mdp - vedeme řez v bodě d těsně zprava. Z odříznuté části vyvodí moment k místu řezu reakce Rb, osamělý moment M a náhradní břemeno Q (předpokládáme, že vzdálenost řezu k bodu e je nulová). Reakce Rb působí na rameni (L3+ L4+L5) a otáčí kladně. Osamělý moment M také otáčí kladně a náhradní břemeno Q působí na rameni (L3 /2) a otáčí proti konvenci, tedy záporně. Pro výsledný ohybový moment platí :


Mdp - vedeme řez v bodě d těsně zleva. Z odříznuté části vyvodí moment k místu řezu reakce Rb, osamělý moment M a náhradní břemeno Q. Obě síly a moment působí na stejných ramenech a otáčejí stejným směrem jako v přechozím řezu. Takže platí stejný vztah :


Mcp - vedeme řez v bodě c těsně zprava. To znamená, že na odříznuté části nosníku nepůsobí ještě síla F. Z odříznuté části vyvodí moment k místu řezu reakce Rb, osamělý moment M a náhradní břemeno Q. Reakce Rb působí na rameni (L- L1) a otáčí kladně. Osamělý moment M také otáčí kladně a náhradní břemeno Q působí na rameni (L2+L3 /2) a otáčí záporně. Pro výsledný ohybový moment platí vztah:


Mcl - vedeme řez v bodě c těsně zleva. To znamená, že na odříznuté části nosníku již působí i síla F. Její složky Fx a Fy ale nevyvodí k místu řezu moment, poněvadž složka Fx prochází bodem c a složka Fy působí na nulovém rameni. Moment k místu řezu tedy vyvodí pouze reakce Rb, osamělý moment M a náhradní břemeno Q. Obě síly i moment působí na stejných ramenech a otáčejí stejným směrem jako v předchozím případě, proto platí stejný vztah :


Ma - vedeme řez v bodě a těsně zprava. Z odříznuté části vyvodí moment reakce Rb, osamělý moment M, náhradní břemeno Q a složka Fy. Reakce Rb působí na rameni L a otáčí kladně, osamělý moment M otáčí také kladně, náhradní břemeno Q působí na rameni (L1+L2+L3 /2) a otáčí záporně a složka Fy působí na rameni L1 a otáčí také záporně. Pro výsledný moment platí tedy vztah :

Obrazec ohybových momentů

Průběh ohybových momentů Máme-li vypočítány hodnoty ohybových momentů, můžeme vykreslit tzv. obrazec ohybových momentů (graf ohybových momentů, průběh ohybových momentů). Ten vykreslíme tak, že na osu nosníku vyneseme vypočítané hodnoty. POZOR ! Kladné hodnoty ohybových momentu vynášíme pod osu nosníku, záporné nad osu nosníku. Vynesené body potom spojíme odpovídajícími křivkami. Mezi body a,c a c,d bude průběh lineární, mezi body d,e bude průběh parabolický, protože mezi body působí rovnoměrné spojité zatížení, a mezi body e,f,b bude průběh opět lineární.

Závěr

Vyřešením reakcí, výpočtem a vykreslením průběhu vnitřních sil včetně určení polohy nebezpečného pruřezu a maximálního momentu jsme vyřešili celou úlohu.
Na první pohled je tato úloha složitá a dlouhá, ale to jen proto, že jsem zde chtěl popsat podrobně princip výpočtu vnitřních sil. Všimněte si, že nezáleží na tom, z které strany vnitřní síly počítáte. Často se používá výpočet do poloviny nosníku zleva a od poloviny zprava. Záleží na typu zatížení a na zvyklostí člověka. Také se nepočítají hodnoty všech vnitřních sil ve všech řezech, ale pouze tam, kde se hodnoty mění, neboť průběhy vnitřních sil odpovídají jistým pravidlům.

Normálové síly - víme, že je vyvodí zatížení v ose nosníku (v ose x). V našem případě působí v ose x pouze reakce Ra,x a složka Fx, tedy stačí určit hodnoty Na, Ncl a Ncp. Průběh mezi jednotlivými body bude konstantní.

Posouvající síly - ty vyvodí pouze zatížení půsbící kolmo na osu nosniku (ve směru osy y). V našem případě to jsou reakce Ra,y, složka Fy, spojité rovnoměrné zatížení q a reakce Rb. Stačí tedy určit hodnoty Va, Vcl, Vcp, Vd, Ve a Vb. Všimněte si, že tam, kde působí složka Fy je graf nespojitý (v místě c je v grafu skok), proto je třeba určit posouvající sílu v tomto řezu těsně zleva i těsně zprava. Dále si všimněte, že velikost posouvajích sil v místech začátku a konce působení spojitého zatížení je těsně zleva i zprava stejná, proto v těchto místech určujeme pouze jednu hodnotu. A jistě jste si všimli, že osamělý moment M neovlivňuje ani normálové síly, ani posouvající síly. Průběhy mezi jednotlivými body bude konstantní až na část mezi body d,e. Poněvadř mezi těmito body působí spojité rovnoměrné zatížení bude průběh lineární.

Ohybové momenty - při jejich výpočtu se nejvíce uplatňuje výpočet zleva (do půlky nosníku) i zprava (od půlky nosníku). Všimněte si, že pokud na nosníku působí silové zatížení (osamělá břemena, spojitá zatížení), tak je průběh spojitý, dochází v grafu pouze ke zlomům a změnám typů průběhu (konstantní, lineární, parabolický). Proto stačí určovat pouze jedny hodnoty v místech řezu. Působí-li na nosníků osamělé momenty, jako v našem případě moment M, pak dochází k nespojitosti v grafu (dochází ke skoku obdobně jako pod silou u posouvajících sil). Z tohoto důvodu se ohybové momenty určují v místě řezu těsně zleva i zprava. Průběhy mezi jednotlivými body lehce určíme z průběhu posouvajících sil. Tam, kde je posouvající síla konstantní, bude průběh momentů lineární, tam kde je průběh posouvajících sil lineární, bude mít průběh momentů tvar paraboly 2°.


Většinu možných průběhu pod jednotlivými zatíženími můžete vidět zde (připravuje se).
A nyní se podívejte na náš přiklad, který je vyřešen s výše uvedenými znalostmi. Příklad 1 - bez popisu